Main Products
- Phosphonates Antiscalants, Corrosion
Inhibitors and Chelating Agents - Salts of Phosphonates
-
- Tetra Sodium Salt of 1-Hydroxy Ethylidene-1,1-Diphosphonic Acid (HEDP?Na4)
- Tetra Sodium Salt of 1-Hydroxy Ethylidene-1,1-Diphosphonic Acid (HEDP?Na4)
- 2-Phosphonobutane -1,2,4-Tricarboxylic Acid, Sodium salt (PBTC?Na4)
- Penta sodium salt of Amino Trimethylene Phosphonic Acid (ATMP?Na5)
- Hepta sodium salt of Diethylene Triamine Penta (Methylene Phosphonic Acid) (DTPMP?Na7)
- Potassium Salt of HexaMethylene-DiamineTetra (MethylenePhosphonic Acid) HMDTMPA?K6
- More
- Polycarboxylic antiscalant and dispersant
- Biodegradable antiscalant and dispersant
- Biocide and Algicide
- Built Scale & Corrosion Inhibitors and Pretreatment Filming Agents
-
- TH-907 Non-P Scale&Corrosion Inhibitor
- TH-503 Scale and Corrosion Inhibitor for Boiler
- TH-503B Scale and Corrosion Inhibitor for Boiler
- TH-504 Scale and Corrosion Inhibitor for Heating Water
- TH-601 Scale and Corrosion Inhibitor for Iron & Steel Plant
- TH-604 Scale and Corrosion Inhibitor for Power Plant
- More
- Corrosion Inhibitor
- Oxygen Scavenger
- Reverse Osmosis Chemicals
- Other
Shandong Taihe Technologies Co., Ltd.
TEL: +86-632-5113066
FAX: +86-632-5112055
E-mail: info@thwater.net
ADD: No.1, Shiliquan East Road, Shizhong District, Zaozhuang City, Shandong Province, P.R.China
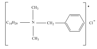
Tetradecyl dimethyl benzyl ammonium chloride
CAS No. 139-08-2 Molecular weight: 368.11
Molecular Formula: C23H42NCl
Structural Formula:

Properties:
Tetradecyl dimethyl benzyl ammonium chloride is colorless to pale yellow liquid, can be dissociated to form cationic active group in water, soluble in water and alcohol in arbitrary ration, and can be used with cationic, non-ionic surfactants or dyes simultaneously, but avoid using with anionic surfactants or additives. Tetradecyl dimethyl benzyl ammonium chloride is stable with weak acid or weak alkali, not suitable for heating at 100 ° C for long time.
Tetradecyl dimethyl benzylammonium chloride has properties of sterilization, emulsification, antistatic and soften. It is widely used in petroleum, chemical, textile, machinery, metallurgy and electric power and other industries.
Specification:
| Items | Index | |
|---|---|---|
| Appearance | Colorless to light yellow aqueous solution | Colorless to pale yellow aqueous solution |
| Active content % | 40.0min | 80.0min |
| Free amine % | 2.0 max | 2.0 max |
pH value |
6.0-8.0 (as it) | 6.0-8.0 (1% solution) |
Usage:
In industrial circulating water treatment, it is used as biocides, algicides, sludge stripper and system cleaning agents. When used in industrial circulating water treatment, usually add it every one or two weeks, 40 ~ 100mg / L each time, using of impact-type feeding; When used in system cleaning or slime stripping, the dosage can be increased, 100 ~ 200mg / L for instance. The pollution discharge should be stopped after dosing.
Package and Storage:
200L plastic drum,IBC(1000L),customers’ requirement. Storage for one year in shady room and dry place.
Safety Protection:
Stimulation to skin and serious stimulation to eyes. Wear safety equipment when operating. When contacted with skin, flush with water.


