Main Products
- Phosphonates Antiscalants, Corrosion
Inhibitors and Chelating Agents - Salts of Phosphonates
-
- Tetra Sodium Salt of 1-Hydroxy Ethylidene-1,1-Diphosphonic Acid (HEDP?Na4)
- Tetra Sodium Salt of 1-Hydroxy Ethylidene-1,1-Diphosphonic Acid (HEDP?Na4)
- 2-Phosphonobutane -1,2,4-Tricarboxylic Acid, Sodium salt (PBTC?Na4)
- Penta sodium salt of Amino Trimethylene Phosphonic Acid (ATMP?Na5)
- Hepta sodium salt of Diethylene Triamine Penta (Methylene Phosphonic Acid) (DTPMP?Na7)
- Potassium Salt of HexaMethylene-DiamineTetra (MethylenePhosphonic Acid) HMDTMPA?K6
- More
- Polycarboxylic antiscalant and dispersant
- Biodegradable antiscalant and dispersant
- Biocide and Algicide
- Built Scale & Corrosion Inhibitors and Pretreatment Filming Agents
-
- TH-907 Non-P Scale&Corrosion Inhibitor
- TH-503 Scale and Corrosion Inhibitor for Boiler
- TH-503B Scale and Corrosion Inhibitor for Boiler
- TH-504 Scale and Corrosion Inhibitor for Heating Water
- TH-601 Scale and Corrosion Inhibitor for Iron & Steel Plant
- TH-604 Scale and Corrosion Inhibitor for Power Plant
- More
- Corrosion Inhibitor
- Oxygen Scavenger
- Reverse Osmosis Chemicals
- Other
Shandong Taihe Technologies Co., Ltd.
TEL: +86-632-5113066
FAX: +86-632-5112055
E-mail: info@thwater.net
ADD: No.1, Shiliquan East Road, Shizhong District, Zaozhuang City, Shandong Province, P.R.China
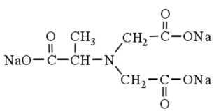
Methylglycine N,N-diacetic acid, Trisodium Salt
Environmentally Friendly Chelating Agent
CAS No.: 164462-16-2
Molecular Formula: C7H8NNa3O6 Molecular weight: 271.11
Structural Formula:

Property and Usage:
Green chelating agent MGDA.Na3 as chelating agent, is applicable to a variety of fields. Meanwhile, it has excellent toxicological safety property and stable biodegradability.
As a metal ion chelating agent, MGDA.Na3 can chelate metal ions to form stable soluble complexes. MGDA.Na3 can be used in wide pH scope, and create synergistic effect with boicides in the system. MGDA.Na3 can work as substitute for salts of phosphonates, NTA, EDTA, citrate and the other chelating agents in detergent.
MGDA.Na3 is a stablizer for sodium perborate and sodium percarbonate and effective builder in non-phosphor detergent formulation. MGDA.Na3 was proofed as high-efficiency bleaching and stubborn strains removing ability in commercial non-phosphor dishwashing formulations.
MGDA.Na3 has wonderful clean ability in high efficiency washing powder, washing liquid and soap detergent, e.g. after adding MGDA.Na3 into various soaps, it has the effect to prevent rancidity, color change and dirt precipitation.
MGDA.Na3 is used as scale remover and scale inhibitor to prevent scale formulation and soften water, which can also resolve metal salts and hydroxide to clean indissolvable salt scales in various industries.
Specification:
| Item | Index |
|---|---|
| Appearance | Colorless to light yellow transparent liquid |
| Content % | 40.0 min |
| Chloride % | 5.0 max |
| pH (1% water solution) | 10.0-12.0 |
| Density g/cm3 | 1.30 min |
Character:
The main character of MGDA.Na3 is excellent chelating ability, which can replace traditional chelating agents.
The dosage should be adjusted according to actual application and effects.
The typical chelating values are as follows:
60 mg Ca2+/g MGDA.Na3,
95 mg Cu2+/g MGDA.Na3,
95 mg Zn2+/g MGDA.Na3,
80 mg Fe2+/g MGDA.Na3,
35 mg Mg2+/g MGDA.Na3,
80 mg Mn2+/g MGDA.Na3.
Package and Storage:
The package is 250 KG/plastic drum or according to customer’s request.
Storage for ten months in room shady and dry place.
Safety and Protection:
Weak alkaline, avoid contact with eye and skin, once contacted, flush with water.
Synonyms:
Trisodium Methylglycine-N,N-Diacetic Acid(MGDA.Na3)
N,N-Bis (Carboxylatomethyl) Alanine Trisodium Salt
Trisodium N-(1-Carboxylatoethyl) Iminodiacetate
Trisodium Dicarboxymethyl Alaninate; Alanine, N,N-bis(carboxymethyl)-, trisodium salt
N,N-Bis (carboxymethyl)-DL-alanine, trisodium salt
DL-Alanine -N,N-diacetic acid trisodium salt


