Main Products
- Phosphonates Antiscalants, Corrosion
Inhibitors and Chelating Agents - Salts of Phosphonates
-
- Tetra Sodium Salt of 1-Hydroxy Ethylidene-1,1-Diphosphonic Acid (HEDP?Na4)
- Tetra Sodium Salt of 1-Hydroxy Ethylidene-1,1-Diphosphonic Acid (HEDP?Na4)
- 2-Phosphonobutane -1,2,4-Tricarboxylic Acid, Sodium salt (PBTC?Na4)
- Penta sodium salt of Amino Trimethylene Phosphonic Acid (ATMP?Na5)
- Hepta sodium salt of Diethylene Triamine Penta (Methylene Phosphonic Acid) (DTPMP?Na7)
- Potassium Salt of HexaMethylene-DiamineTetra (MethylenePhosphonic Acid) HMDTMPA?K6
- More
- Polycarboxylic antiscalant and dispersant
- Biodegradable antiscalant and dispersant
- Biocide and Algicide
- Built Scale & Corrosion Inhibitors and Pretreatment Filming Agents
-
- TH-907 Non-P Scale&Corrosion Inhibitor
- TH-503 Scale and Corrosion Inhibitor for Boiler
- TH-503B Scale and Corrosion Inhibitor for Boiler
- TH-504 Scale and Corrosion Inhibitor for Heating Water
- TH-601 Scale and Corrosion Inhibitor for Iron & Steel Plant
- TH-604 Scale and Corrosion Inhibitor for Power Plant
- More
- Corrosion Inhibitor
- Oxygen Scavenger
- Reverse Osmosis Chemicals
- Other
Shandong Taihe Technologies Co., Ltd.
TEL: +86-632-5113066
FAX: +86-632-5112055
E-mail: info@thwater.net
ADD: No.1, Shiliquan East Road, Shizhong District, Zaozhuang City, Shandong Province, P.R.China
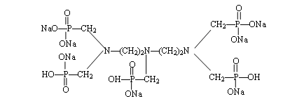
Hepta sodium salt of Diethylene Triamine Penta (Methylene Phosphonic Acid) (DTPMP?Na7)
CAS No. 22042-96-2 (x-Na) 68155-78-2 (7-Na)
Molecular Formula: C9H21O15N3P5Na7 Molecular weight: 727
Structural Formula:

Properties:
DTPMP?Na7 is a scale inhibitor, for barium sulphate in particular and a chelating agent.DTPMP?Na7 can be used as stabilizer for peroxide bleaching, detergent auxiliaries, in industrial & municipal cleaning water, terrestrial heat water, oilfield water, etc.
Specification:
| Items | Index | |
|---|---|---|
| Appearance | Umber transparent liquid | |
| Active content (DTPMPA)% > | 31.5-33.5 | 24.0-26.0 |
| Active content (DTPMP?Na7)% | 40.0-42.5 | 30.5-33.0 |
| Total phosphoric acid(PO43-)% | - | 19.7-21.7 |
| Chloride ( as Cl-) % | 5.0 max | 5.0 max |
| Fe, mg/L | 20.0 max | 20.0 max |
| PH(1% water solution) | 7.0-9.0 | 7.0-9.0 |
| Density (20℃) g/cm3 | 1.25 min | 1.24-1.34 |
Package and Storage:
200L plastic drum, IBC(1000L),customers' requirement. Storage for ten months in shady room and dry place.
Safety Protection:
Avoid contact with eye and skin, once contacted, flush with water.


